地大新闻网讯(通讯员 张学海)日前, 18小说
18小说
大气科学系孔少飞教授团队与湖北省环境监测中心站等合作开展的研究《由于新型冠状病毒肺炎武汉封城后大气PM2.5化学组成和来源发生了显著变化》在《全环境科学》在线发表,这也是双方首次以湖北省大气复合污染研究中心共同发表的论文。第一作者为2017级博士研究生郑煌,通讯作者为孔少飞教授。
为阻断新冠病毒传播,武汉在2020年1月23日采取“封城”措施,为扼制疫情扩散做出了重大贡献。“封城”措施导致人为活动和污染源排放减少,对空气质量以及PM2.5化学组成、来源影响如何,气象条件和减排对PM2.5变化分别起到了多大作用,本地和区域减排对武汉大气PM2.5的影响如何,成为亟待回答的科学问题。

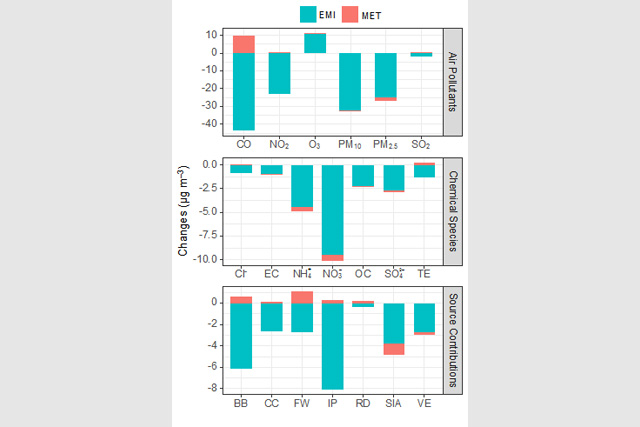
2020年封城后1个月与2019年同期排放(EMI)和气象条件(MET)对空气污染物、PM2.5化学组分和源贡献变化的影响
研究对比了2020年“封城”后1个月与2019年同期排放和气象条件对空气污染物、PM2.5化学组分和源贡献变化的影响。武汉市大气二氧化氮、可吸入颗粒物、细颗粒物和二氧化硫质量浓度的降低幅度分别为55.6%、33.7%、37.0%和26.5%。“封城”措施导致的污染物减排使得武汉市PM2.5与2019年同期相比,降低了27微克每立方米,减排贡献为92%,远高于气象条件的影响。PM2.5中不同的化学组分和各类源贡献均有大幅降低。化学组分中硝酸根离子的下降幅度最大,达到9.86微克每立方米。受体模型解析出的PM2.5的7类贡献源包括生物质燃烧、燃煤、烟花燃放、工业过程、道路尘、二次无机源和机动车尾气均有明显降低,工业过程降低幅度最大,为8.02微克每立方米。
研究还对比了两个时段影响武汉市PM2.5的潜在源区的源贡献率的变化,发现影响武汉的大部分地区的PM2.5各类源贡献都呈现出下降趋势,但烟花燃放FW、二次无机源SIA和机动车尾气VE在部分地区存在升高的现象,与二氧化硫在大气中转化速率增加以及这些区域源排放可能没有明显减少有关。

2020年封城后1个月与2019年同期影响武汉市PM2.5不同源的潜在源区贡献率的对比
这一“封城”实验揭示了大气污染物一次排放降低与二次生成速率增强之间的关系;发现了疫情期间的“被动减排”不仅有效降低了各源类对PM2.5的贡献,也改变了各源类贡献的日变化特征。在我国大气污染防控进入深水区,本研究的发现突出了大气污染防治措施应更加注重不同地区差异化和不同时段精细化的大气污染源减排的重要性。
该研究受到国家自然科学基金重点项目、科技部国家重点研发计划、武汉市科技局第二批新冠肺炎应急科技公关专项等项目的资助。(文字编辑刘妍慧)
全文链接://doi.org/10.1016/j.scitotenv.2020.140000